| Electrical Engineering is a free introductory textbook to the basics of electrical engineering. See the editorial for more information.... |
|

Home Polyphase Circuits Electromotive Forces in a Delta-Connected System |
|
|
|
|
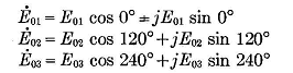
Electromotive Forces in a Delta-Connected SystemAuthor: E.E. Kimberly If three conductors like those in Fig. 9-1 (a) be connected in series (by proper collector-ring arrangement) by connecting the near end of conductor 1 to the far end of conductor 2, the near end of conductor 2 to the far end of conductor 3, and the near end of conductor 3 to the far end of conductor 1, then every conductor would be traversed in a positive sense and the corresponding voltage vectors would be found to add. The generator is then said to be Δ-connected or delta-connected.
Since
or Therefore, the net voltage tending to cause a current to flow around the series delta (Δ) circuit is zero, and the connection is permissible because no current will flow around the closed circuit. Three wires or leads may be connected to the three junction points of the phases and may be used to supply either single-phase or three-phase loads.
|
|
Home Polyphase Circuits Electromotive Forces in a Delta-Connected System |
|