| Practical Physics is a free textbook on basic laboratory physics. See the editorial for more information.... |
|

Home Mirrors and Lenses Focal Lines |
||||||
|
||||||
Focal Lines
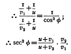
When light falls obliquely on a convex lens a refracted pencil does not converge to a point, but to two focal lines in planes at right angles. Let us suppose the lens placed normal to the incident light which is travelling in a horizontal direction, and then turned about a vertical axis till the angle of incidence is φ, then the primary focal line is vertical, the secondary is horizontal, and if u be the distance of the source of light from the lens, v1, v2, the distances of the focal lines, supposed to be real, and/the focal length of the lens, we have(1)
If, then, we determine v1 and v2 this equation will give us the value of φ, and if the apparatus can be arranged so that φ can readily be measured, the comparison of the value given by the formula with the result of the measurement enables us to check the formula.
Each observation will require repeating several times, and in no case will the images formed be perfectly clear and well-defined. A very good result may, however, be obtained by using the homogeneous light cf a sodium flame behind the gauze, and receiving the image upon a second gauze provided with a magnifying lens, as described in §53. Experiment. - Light falls obliquely on a lens; determine the position of the primary and secondary foci, and, hence, find the angle of incidence. Enter results thus:
|
||||||
Home Mirrors and Lenses Focal Lines |
||||||